Ø
Ø
Ø
Ø
Ø
2.5
絕對運動與相對運動
(
續
)
Ø
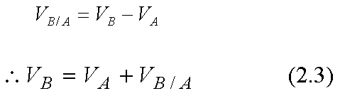
若已知
A
點的速度
V
A
,則
B
點的速度
V
B
,可經由
B
相對於
A
的速度再加上
V
A
的速度求出,因為
由於位移與加速度都是向量,所以可以同樣用上述的方法來處理。
上一頁
下一頁