Ø
例題2.1
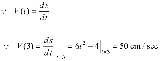
  一物體作直線運動,已知其位移 與時間 之關係式為 S=2t3-4t+5(cm),試求在t=3sec時之速度為何?
解:

上一頁

   

下一頁