Ø
2.7
角位移與角速度
Ø
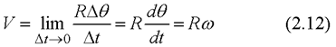
在圖
2.17
中,
OP
的長度為點
P
的旋轉半徑,以
R
表之。點
P
的速度
V
與路徑
PP’
相切;且與
OP
垂直,弧長
PP’
等於
R
Dq
,則
P
點速度
V
為
Ø
其中
w
是以單位時間的弳度量
(rad)
來表示。若以每秒弳度量表示
w
,
R
以公尺表示,則
V
的單位是每秒
-
公尺,即
上一頁
下一頁