2.8
線加速度與角加速度
Ø
線加速度
--
指線速度對時間的變化率。
Ø
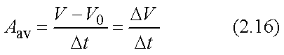
考慮一作直線運動的質點,方向保持一定,速度僅有大小的變
化。設以
V
0
表示其最初速度,經過
D
t
時間後的速度為
V
,則在
D
t
時間內的平均加速度為
A
av
,即
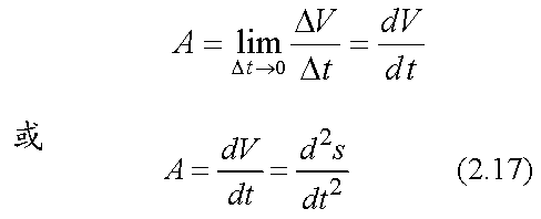
其瞬時加速度為
g
上一頁
下一頁