Ø若質點是以等加速度運動;則加速度A必為一常數,則 (2.16) 式可寫成
 

 

 

其位移為平均速度與時間的乘積。即

 

 

 

 

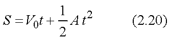
(2.18) V 代入 (2.19) 式得

 

 

上一頁

   

下一頁

 

亦可將 (2.18) 式的 t 代入 (2.19) 式中得