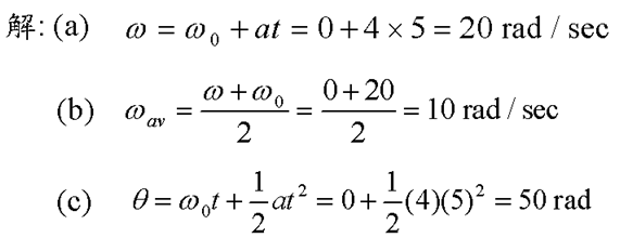
例題2.5
有一飛輪由靜止起動,在 5 秒內有一等角加速度,求其
(a)末角速度。
(b)5 秒內的平均角速度。
(c)5 秒內所轉動的角度。

上一頁

   

下一頁