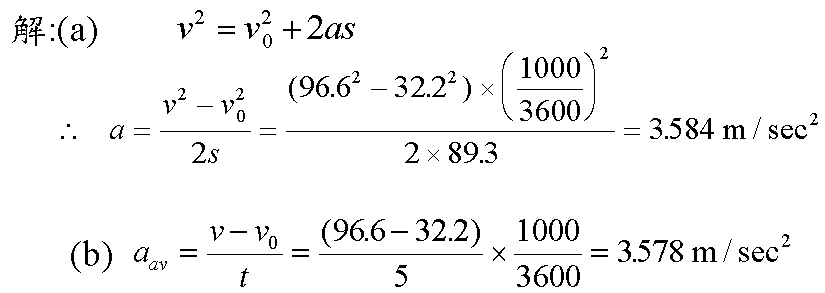
例題2.4
a)(a)若一汽車在 89.3 公尺內,以等加速度由32.2 km/h 的速度加速到96.6km/h。求其加速度大小為多少
b)(b)若一汽車在 5 秒時間內,以變加速度由32.2 km/h 的速度加速到96.6km/h。求其平均加速度大小為多少

 

 

 

 

 

 

 

 

 

 

 

 

上一頁

   

下一頁