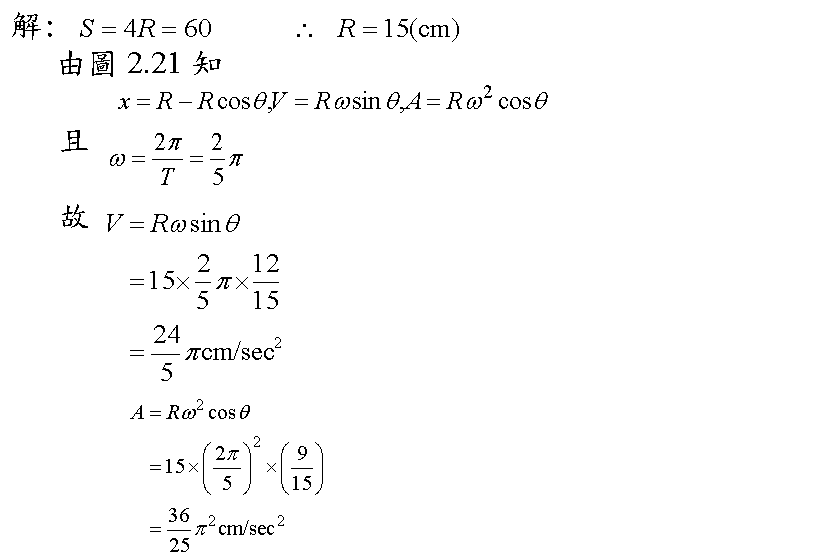
例題2.6
當一質點在水平作簡諧運動時,以週期5秒移動60cm,試求在離開右端6cm時之加速度及速度。
 

 

上一頁

   

下一頁