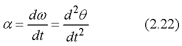
角加速度,是指角速度對時間的變化率,即

Ø

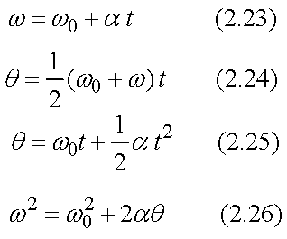
若物體作等角加速度運動,則α為常數,那麼此類的運動型式與作直線等加速度運動相同,以θ ω α分別代替 (2.18) 至 (2.21) 式中的 SVA 可得

 

 

 

 

 

 

 

 

 

上一頁

   

下一頁